
眾所周知,電感在電機中具有重要的作用。它不僅限制電流變化速率,保護電機和其他電氣設備,還對電機的能效、功率因數和磁場控制起到關鍵作用。在電機設計和應用中,合理考慮和優化電感的選擇和設計,對于提高電機性能、降低能量損耗和實現高效運行至關重要,因此,對于電感的了解和分析至關重要。
一、寫在前面
首先是一些電感的基礎知識,便于對后續內容有更好的理解。
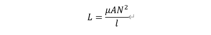
①電感定義公式


式中,μ為磁路磁導率,A為截面面積,N為線圈匝數,l為磁路長度。
可以看出,對于一個結構匝數確定的電感器來說,電感的大小取決于磁路的飽和狀態,也就是磁導率μ,磁路飽和程度越高,電感越小,反之越大。
②在線圈中通入電流,會產生磁場匝鏈線圈,用公式表示為:
![]()
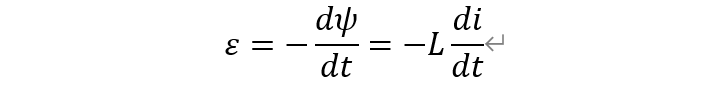
③當通入電流為交流電時,線圈產生的磁場也是交變的,交變磁場會感應出電動勢,其值為:
![]()
④當電感線圈中通入電流時,電路表現為感性,感抗為:
![]()
式中,f為交流電頻率。電流頻率越大,線圈對電流的阻礙作用就越大,電流值就越小,即電感線圈通直流阻交流。
二、電感、自感、互感、漏感
電感是自感和互感的總稱,只存在單個線圈時,電感就是指自感。必須至少存在兩個線圈才能討論互感和漏感。
當線圈中通入電流時,會產生磁場,這種反映線圈產生磁場能力強弱的物理量稱為自感系數,簡稱自感。
當存在兩個線圈時,其中一個線圈中電流所產生的磁通有一部分與第二個線圈相環鏈,產生互感磁鏈。這種反映一個線圈對應一個線圈產生互感磁鏈能力強弱的物理量稱為互感系數,簡稱互感。
互感系數用公式表達為:
![]()
式中,k為耦合系數,取值為0~1,0表示兩個線圈完全沒有耦合,1表示兩個線圈完美耦合;LAA和LBB為兩個線圈的自感。
當兩個線圈沒有完美耦合時,其中一個線圈中的磁通會有一部分無法和另一個線圈相環鏈,電流產生的這部分磁場大小可以用漏感來衡量。
舉例說明:假設有匝數為NA和匝數為NB的A、B兩個線圈,分別通入電流iA和iB,則:
線圈A的總磁鏈=線圈A產生的自感磁鏈+線圈B對線圈A的互感磁鏈。
=線圈A對線圈B的互感磁鏈+線圈A的漏感磁鏈+線圈B對線圈A的互感磁鏈。
用公式表示為:

式中,
φA,φB為A,B線圈中的總磁通;φAA,φBB為A,B線圈自身通入電流產生的磁通;φBA為由線圈B產生并穿過線圈A的磁通;
ψA,ψB為A,B線圈中的總磁鏈;ψAA,ψBB為A,B線圈自身通入電流產生的磁鏈;ψBA為由線圈B產生并與線圈A匝鏈的磁鏈。
對于線圈A自身通入電流產生的磁通:

式中,
φAB為A對B的互感磁通;φγA為線圈A的漏磁通;
LAA為線圈A的自感;LM為線圈A、B之間的互感;LγA為線圈A的漏感。

三、PMSM數學模型
為建立其數學模型,先做如下假設:
①永磁材料不導電,磁極的磁導率與氣隙相同;
②忽略鐵心材料磁阻,不計及磁滯和渦流損耗;
③定子繞組對稱分布且各軸線相差120度,轉子無阻尼繞組;
④電樞反應磁場和永磁體磁場為正弦分布,穩態感應電動勢為正弦波。

取永磁磁極勵磁磁場的基波分量為ψf,其與A相軸線之間的夾角用θ表示,定子繞組Y形連接,轉子以角速度ω逆時針旋轉。
三相磁鏈方程為:

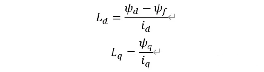
已知L=ψ/i,因此可以通過磁鏈分析電感。由于磁鏈方程中三相磁鏈之間相互耦合,不利于對電感的分析,所以將對三相電感的分析轉化為對d、q軸電感的分析,即Ld、Lq。由于d、q之間完全解耦,d 軸磁路狀態只與 d 軸電流相關, q 軸磁路狀態只與 q 軸電流相關??梢缘玫?,d、q軸上磁鏈和電感的關系:

電機運行過程中受到的負載可能是不斷變化的,因此所需的電流大小和相角也是變化的,這將導致d、q軸磁路飽和狀態發生變化,從而使Ld、Lq發生變化。
為了更直觀地分析電流對電感的影響,將三相電流經過Clark和Park變換,等效為id和iq,最終只需觀察id、iq的變化對Ld、Lq的影響即可。

上圖可以看到,當單獨通d軸或q軸電流時,d、q存在共用耦合磁路的情況,因此,d(q)軸電流的變化,除了會改變自身軸的電感外,還會引起q(d)軸電感參數的變化。
(1)id=0~-10A ,iq=0
當只通入d軸電流時,d、q軸的各項參數變化如下:
①永磁磁鏈:隨著id增加,永磁體磁鏈保持不變;若d軸磁路先前處于飽和狀態,隨著id增加,d軸磁路飽程度降低,永磁體磁鏈會有所增加。
②d軸磁鏈:隨著id增加,反向去磁磁鏈增加,由于永磁磁鏈保持不變,因此d軸磁鏈會減小,直至硅鋼片反向飽和。
③d軸電感Ld:隨著id增加,d軸飽和程度降低,d軸磁阻減小,Ld逐漸增大,隨著硅鋼片反向飽和,Ld又逐漸減小。
④q軸電感Lq:由于dq磁路耦合,id變化也會影響Lq:由于存在永磁磁鏈,隨著id增加,d軸磁鏈減小,dq耦合磁路的磁力線減少,q軸飽和程度降低,因此Lq逐漸增大;但是id持續增加,使d軸磁場反向增大后,dq耦合磁路的磁力線增加,q軸飽和程度增加,Lq逐漸減小。

(2)id=0,iq=0~10A
當只通入q軸電流時,d、q軸的各項參數變化如下:
①永磁磁鏈:由于dq磁路耦合,隨著iq增加,耦合磁路的磁力線增加,d軸飽和程度增加,導致永磁體產生的磁力線匝鏈定子繞組的數量減少,因此永磁磁鏈逐漸減小。
②q軸磁鏈:隨著iq增加,q軸磁鏈的變化趨勢與硅鋼片B-H曲線相似,斜率先增加后減小,最終達到飽和。
③d軸電感Ld:由于dq磁路耦合,隨著iq增加,d軸磁路最終會達到飽和,但這個過程中,根據不同硅鋼片B-H曲線斜率的不同以及加載電流前硅鋼片工作點的不同,可能會出現磁導率先增加后減小的情況,此時,Ld會先增加后減??;也可能會出現磁導率一直減小的情況,此時,Ld會一直減小。
④q軸電感Lq:隨著iq增加,硅鋼片B-H曲線斜率(磁導率)先增加后減小,因此Lq先增加后減小。


AIP艾普專注全球電機測試,以上信息來自網絡,如有侵權請聯系作者更改。
魯公網安備37021302000917號